
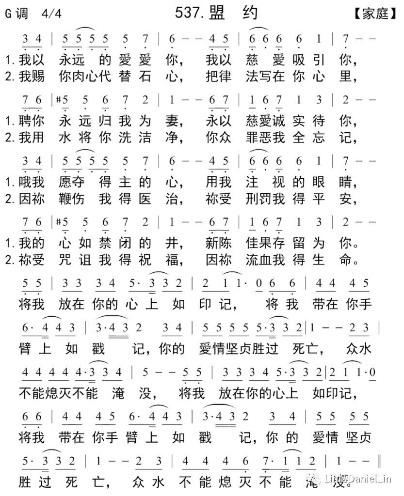
最近教会连续有学习的一首诗 歌就是《盟约》,作为时常在公行婚礼上会被唱起的歌,留给人最深甚至是概念化的认识,就是以为这仅是一首在公行婚礼上才会去唱的歌,然而,在教会公共敬拜时再次唱起,我却被里头的经文歌词大大提醒,诗歌提醒我,福音到底是关乎什么的?她是关乎:
#祂以永远的爱爱我,是祂总以慈爱在吸引我…
不然,按我的本性,我早就离祂远去了;即使给我有100次的机会,我仍会按本性选择远离祂而去;即使给了我有100个100分的生命和生活,我仍然会把它搞的一团乱糟;但祂却还是爱我,还是紧紧抓着我。
我知道我不致失丧,是因为祂爱我!
#感恩祂开启我禁闭如井的心,用祂的爱柔软我,用祂的血洗净我……
每每跟随主一段时日后,内心就因私 欲变得孤寂、冷漠、要躲藏起来、要封 闭起来,变得形式主义⋯…可尽管如此,祂还是以恩柔软我,开启我,清醒了我的心。
#祂为我做了什么?
诗歌说:祂为我的罪,受尽鞭伤、尝尽苦杯,承受咒诅、流尽宝血……
所以在公共敬拜时,因再次思想到祂那为我舍命的爱,不禁泪目。
看到每次,我远离祂,祂却从未离开;每一次,我悖逆祂,祂却从未离绝。反而,
#祂总是将教会放在祂的心上如印记,总是将教会戴在祂手臂上如戳记⋯⋯.
我们时常追随祂不坚决,祂却始终以坚决的爱来待我们。诗歌说,祂的爱胜过死,是水不能熄灭、大水不能淹没的。
- 这就是那一种爱:就算我们去到了生命的最低谷,祂仍在最低谷中等我
- 这就是那一种爱:悖逆、背离走了很远很远一段路,回头,依然看见祂渴望我们回转的接纳眼神,是父亲的眼神
- 这就是那一种爱:永不缩短祂的膀臂,永不减少祂的恩情,绝不向我撒手不管,不论我们怎样破旧,不管我怎样的如小儿子般迷失,只要我们悔改回转,祂就立即接纳我们入怀!
当小儿子回家时,父亲没有一刻的迟疑,而是立即跑向了小儿子,抱着他,亲吻他,以祂最热烈叉温暖的爱通通包围他,融化他冰涼的心……
这就是那一种基于盟约性的爱!十字架上的爱!

-  全文完  -
热度(646)








